Plasma-Astrophysik — Forschung
MHD und Plasma Prozesse
In der Astrophysik bestimmen MHD-Prozesse und Plasmainstabilitäten nicht nur die grundlegenden Eigenschaften des Weltraumplasmas, sie sind auch aufgrund der einzigartigen Bedingungen sehr interessant, die nicht im Labor realisiert werden können, wie z.B. die riesige spektrale Spannweite, die Stossfreiheit und extreme Temperaturen.
Kosmische Strahlung (CRs) & Hochenergie-Astrophysik
Wir untersuchen die fundamentalen Plasmaprozesse, die die Beschleunigung und den Transport von Teilchen in verschiedenen astrophysikalischen Umgebungen bestimmen, sowie ihre Wechselwirkung mit MHD-Turbulenz und Wellen.
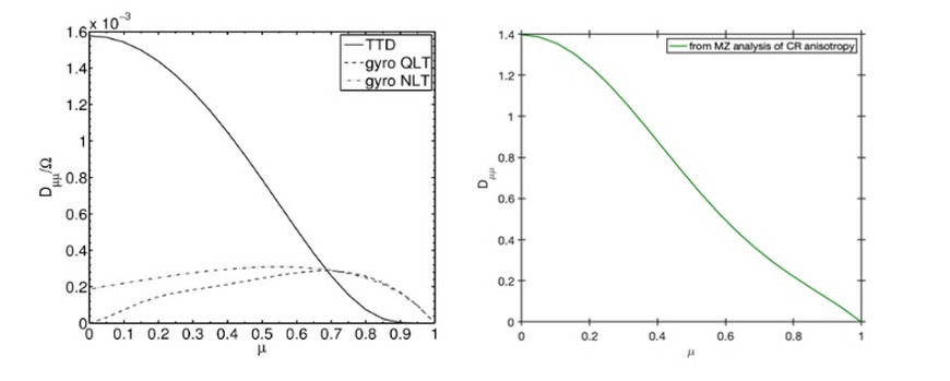
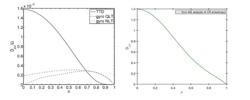
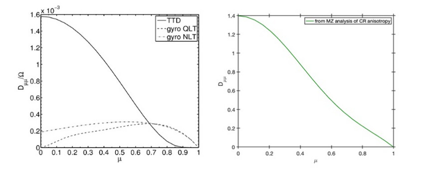
Vergleich der Streuungsraten kosmischer Strahlung aus der nichtlinearen Transporttheorie und den aus der CR-Anisotropieanalyse abgeleiteten Werten.
Beobachtungsstudie zu MHD-Turbulenzen
Die Natur der MHD Turbulenzen wird durch Energieeinspritzung in grossen Maßstäben, Dämpfung in kleinen Maßstäben sowie Umweltfaktoren geprägt. In Verbindung mit MHD- und PIC-Simulationen werden neue Diagnosen entwickelt, um die Plasmaeigenschaften interstellarer Turbulenzen nachzuverfolgen.
Weltraum-Plasma-Physik
Wir untersuchen die physikalischen Prozesse in Weltraumplasmen, die durch direkte Messungen verschiedener Raumsonden, einschließlich der kürzlich gestarteten "Parker"-Raumsonde, eine Fülle von Informationen liefern können. Insbesondere analysieren wir die MHD-Störungen, den Teilchentransport und die Plasmainstabilitäten.
Teilchentransport und -beschleunigung
Wir untersuchen die grundlegenden Plasmaprozesse, die den Teilchentransport und die Teilchenbeschleunigung in verschiedenen astrophysikalischen Umgebungen steuern, sowie die Wechselwirkung mit MHD-Turbulenzen, Wellen usw.
Astrophysikalisches Magnetfeld
Astrophysikalische Magnetfelder als Leim des astrophysikalischen Plasma, das Magnetfeld ist ausser Frage eine der Schlüsseleigenschaften die wir wissen wollen. Aufgrund ihrer herausragenden Rolle in astrophysikalischen Plasmen ist die Kenntnis kosmischer Magnetfelder ausserordentlich wichtig.
Wir untersuchen verschiedene Wege um Magnetfelder und ihre Dynamiken (Turbulenzen), insbesondere in diffusen Medien, zu detektieren.





