Peer-reviewed publications by year
2026
F. - C. Weber, F. Hartmann, M. Bargheer, J. Anders, R. F. L. E. Evans
Atomistic spin dynamics with quantum colored noise
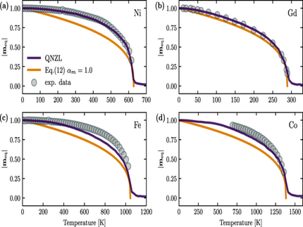
The accurate prediction of temperature-dependent magnetization dynamics is a fundamental challenge in computational magnetism. While atomistic spin dynamics simulations have emerged as a powerful tool for studying magnetic phenomena, their classical nature leads to significant deviations from experimental observations, particularly at low temperatures. Here we present a comprehensive implementation of quantum-corrected atomistic spin dynamics into the vampire software package, based on the open-system Landau-Lifshitz-Gilbert equation with a quantum thermostat. Our implementation incorporates memory effects along with colored noise derived from quantum-mechanical considerations that improve the description of the equilibrium magnetization. We demonstrate excellent quantitative agreement with experimental magnetization curves for nickel and gadolinium across the full temperature range. Our results establish that incorporating quantum environmental effects and colored noise substantially enhances the predictive capabilities of atomistic spin dynamics simulations, providing a robust framework for modeling temperature-dependent magnetic phenomena in localized moment magnetic systems.
M. Monai, W. Albrecht, A. Alkemper, N. Artrith, A. Baldi, A. Beck, R. T. Berry, E. Bianco, F. A. Brzesowsky, Q. Dong, J. Faria Albanese, R. R. Frontiera, E. Galvin, E. C. Garnett, N. Gerrits, M. Grzelczak, M. Herzog, F. Hess, A. A. Kolganov, W. Koopman, N. Kosinov, S. Lander, E. Lepre, D. N. Maaskant, G. Miao, A. M. Naik, T. M. Onn, A. A. Peterson, D. Piankova, E. A. Pidko, K. Trangwachirachai, F. van den Bosch, D. Xu, B. Yilmaz, J. Zeininger, E. Alarcón Lladó, J. Meyer, P. J. Dauenhauer, S. H. C. Askes
Grand Challenges and Opportunities in Stimulated Dynamic and Resonant Catalysis
ACS Catalysis XX, XXXX (2026).
Traditional heterogeneous catalysis is constrained by kinetic and thermodynamic limits, such as the Sabatier principle and reaction equilibrium. Dynamic and resonant catalysts hold promise to overcome these limitations by actively oscillating a catalyst’s physical or electronic structure at the time scale of the catalytic cycle, allowing programmable control over reaction pathways, and leading to improved rate and selectivity. External stimuli such as temperature swing, mechanical strain, electric charge, and light can perturb catalyst surfaces in different ways, altering adsorbate coverage, binding energies, and transition states beyond what steady-state catalysis allows. This work surveys the current state of dynamic catalysis, introduces the concept of “stimulando” characterization for observing transient dynamics, and outlines key modeling, mechanistic, and benchmarking strategies to advance the field toward improved chemical transformation.
F. Stete, M. Bargheer, W. Koopman
Capacitive photocharging of gold nanorods
Nature Communications 17, 1 (2026)
Light can charge plasmonic nanoparticles by photoredox reactions, significantly modifying their optical and chemical properties. However, the charging process has been challenging to track experimentally, severely hindering its thorough evaluation. In this study, we investigate the charging of gold nanorods during a light-induced reaction in situ, utilizing the sensitivity of the rods’ longitudinal localized surface plasmon resonance to charge accumulation. Describing the particles as nanocapacitors, we present a model to quantify the number of charges on the particles and their connection to the illumination intensity. We find that the Fermi level, together with all other energy bands, is raised because of the repulsive potential of the additional charges. Experimental observations of the dependence on the solvent, the particle size, and ligand type further corroborate the proposed capacitor model. The results presented in this study lay the groundwork for the rational engineering of dynamic charge accumulation during plasmon-driven photoreactions.
2025
R. Alemayehu, S. Zeuschner, A.v. Reppert, M. Rössle, M. Alexe, M. Bargheer
Rapid heat-assisted polarization reversal in a ferroelectric thin film
Appl. Phys. Lett. 127, 242902 (2025)
We demonstrate that switching of ferroelectric thin films sandwiched between metallic electrodes can be controlled by laser-assisted heating, reminiscent of heat-assisted magnetic recording. We employ electrical switching cycles that quantify the electrically switchable remanent polarization and show that 300 ns voltage pulses alone change the polarization by less than the remanent polarization. Transient heating of the metallic top electrode by synchronized ns laser pulses induces a reversal of the average polarization. The transient average temperature modeled by the heat equation can rationalize the polarization change observed for different relative timings of the laser pulse if it arrives before the electrical pulse.
W. Koopman, J. Kutschera, F. Stete, and M. Bargheer
Auger-Excited Photoluminescence from Gold Nanoflowers
ACS Nano, 2025, 19, 39, 34517–34526
Photoluminescence from metal nanostructures offers a promising means of studying excited charge processes in metal nanostructures. Moreover, they have many potential applications in sensing, imaging, and nanothermometry. However, a general understanding of the emission from metal nanoparticles has not yet been achieved. In particular, the possible presence of sequential emission mechanisms involving the excitation of conduction band electrons via interband Auger scattering remains unclear. In this article, we provide spectroscopic evidence of Auger-excited intraband emission from gold nanoflowers. We employ a combination of photoluminescence and photoluminescence excitation spectroscopy to investigate the excitation pathways in films of gold nanoflowers. While, on the one hand, the excitation spectrum clearly demonstrates absorption by interband transitions, the emission spectra can be unequivocally assigned to intraband recombination. The combination of these two observations can be conclusively explained only by Auger-excited intraband emission. These results suggest Auger excitation to be a promising route to generate energetic nonthermal electrons with energies substantially above the Fermi level. Exploiting this effect could strongly benefit applications for nanoluminescent probes and the progress of plasmon catalysis.
C.G. Olorunnisola, D. Olorunnisola, C. Neumann, W. Koopman, C. Günter, H. Seitz, H. M. Rawel, E. Unuabonah, A. Taubert
Zn-Doped Porous Graphitic Carbon Nitride: A High-Performance Catalyst for the Photodegradation of Pharmaceuticals and Personal Care Products
ACS Omega 2025, 10, 36, 41395–41412
In this study, photocatalytically active graphitic carbon nitride (GCN) photocatalysts with varying amounts of zinc salts were synthesized using a solvent-free, scalable, and eco-friendly method. The photocatalysts were characterized using X-ray powder diffraction, scanning electron microscopy, nitrogen sorption, thermogravimetric analysis, UV–vis diffuse reflectance, and time-resolved photoluminescence (TRPL) spectroscopy. The addition of zinc to the GCN yields materials (GCN:Zn) with an enhanced surface area up to ca. 150 m2/g. Moreover, Zn incorporation affects the electronic structure of GCN and improves the electron transfer rate in the materials. The GCN:Zn materials show significantly improved photocatalytic activity for the degradation of pharmaceutical and personal care products (PPCPs) such as sulfamethoxazole (SMX), tetracycline (TET), and triclosan (TC) compared to zinc-free GCN. Although the degradation efficiency exceeds 98%, mineralization of the PPCPs is moderate (45–53%) due to the formation of stable intermediates. The treated effluents are nontoxic to Escherichia coli and Staphylococcus xylosus, indicating that no harmful intermediates form during the photocatalytic degradation of the PPCPs. The GCN:Zn photocatalysts demonstrate excellent reusability and stability for the degradation of PPCP over four cycles with minimal loss in activity, showcasing their potential for sustainable water treatment applications.
F. Stete, S. Kesarwani, C. Ruhmlieb, S. H. C. Askes, F. Schulz, M. Bargheer, H. Lange
Inverted temperature gradients in gold–palladium antenna-reactor nanoparticles
Nature Communications 16, 8168 (2025).
In addition to enhanced fields and possible charge transfer, the concentration of photothermal energy at the nanoscale is a central feature of plasmon-driven photochemistry. It is well known that light energy can be efficiently concentrated in metal nanoparticles to length scales far below the wavelength of light. Here we demonstrate that the energy absorbed by a gold nanoparticle can be further localized within a bimetallic gold-paladium nanoparticle system by the dissipation of energy into the attached palladium satellite nanoparticles. After pulsed excitation of the gold core, the satellites collect nearly all photothermal energy and heat up by 180 K while the light-absorbing gold core remains much colder. By comparing transient absorption dynamics of a series of bimetallic nanoparticles with a three-temperature model, we can precisely assess the temperatures of the electronic and vibrational subsystems. We find a strong inverted temperature gradient that opposes the direction of energy input and concentrates the light energy at the active catalytic nanosite.
C. Walz, F.-C. Weber, S.-P. Zeuschner, K. Dumesnil, A. von Reppert, M. Bargheer
Large strain contribution to the laser-driven magnetization response of magnetostrictive TbFe2
Applied Physics Letters 127, 052406 (2025).
We investigate strain-induced contributions to the transient polar magneto-optical Kerr effect response in laser-excited Terfenol. The time-resolved magneto-optical Kerr effect (tr-MOKE) signals obtained from TbFe2 films with and without glass capping exhibit distinct signatures associated with transient strain. We experimentally observe the arrival of strain pulses via the reflectivity change. The tr-MOKE response measured without changing the pump-probe geometry is delayed by several picoseconds. This suggests a genuine magnetization response as opposed to instantaneous changes of optical constants as the origin of the signal. We model the propagation of longitudinal acoustic picosecond strain pulses and incorporate the inverse magnetostriction effect via a magnetoelastic term in the effective field of the Landau–Lifshitz–Gilbert equation with large damping. This reproduces not only the delay of the pulsed response but also unveils the dominant contribution of quasi-static strain to the magnetization dynamics due to the thermal expansion in the optically probed near-surface region. Our experiments exemplify that purely longitudinal strain along the out-of-plane direction of the thin film enables efficient magnetoelastic coupling via the shear strain components arising in the oblique crystallographic frame of reference.
A.v. Reppert, M. Bargheer
Listening to the silence of quantum processes
Nature Materials 14, 1158 (2025).
Narrow exciton-polariton resonances in multiple quantum wells enable picosecond ultrasonics to detect coherent acoustic wave packets near the single-phonon quantum limit.
M. Mattern, S. P. Zeuschner, M. Rössle, J.A. Arregi, V. Uhlíř, M. Bargheer
Non-thermal electrons open the non-equilibrium pathway of the phase transition in FeRh
Communication Physics 8, 140 (2025).
The optical excitation of metals initially creates short-lived non-Fermi distributions of the electrons. The electrons and holes excited far above and below the Fermi level quickly relax to hot Fermi-distributions that subsequently cool via electron-phonon scattering. Here, we show that such non-thermal charge carriers beyond the Fermi-distribution speed up the prototypical first-order antiferromagnetic-to-ferromagnetic phase transition in FeRh. In ultrafast x-ray diffraction experiments, we vary the maximum electron temperature by increasing the pump pulse duration up to 10 ps. For direct optical excitation of FeRh, ferromagnetic domains nucleate within 8 ps as soon as the successively deposited energy surpasses the site-specific threshold energy. In contrast, suppressing the direct optical excitation by an optically opaque Pt layer leads to a nucleation on a 50 ps timescale driven by the near-equilibrium heat transport. These findings unambiguously identify the photo-excitation of non-thermal electrons and not electron-phonon non-equilibria to enable the rapid phase transition in FeRh.
2024
C. Kwamen, M. Rössle, W. Leitenberger, P. Rojo Romeo, B. Vilquin, C. Dubourdieu, M. Bargheer
A Time-Domain Perspective on the Structural and Electronic Response in Epitaxial Ferroelectric Thin Films on Silicon
This operando study of epitaxial ferroelectric Pb(Zr0.48Ti0.52)O3 capacitors on silicon substrates studies their structural response via synchrotron-based time-resolved X-ray diffraction during hysteresis-loop measurements in the 2–200 kHz range. At high frequencies, the polarization hysteresis loop is rounded and the classical butterfly-like strain hysteresis acquires a flat dumbbell shape. We explain these observations from a time-domain perspective: The polarization and structural motion within the unit cell are coupled to the strain by the piezoelectric effect and limited by domain wall velocity. The solution of this coupled oscillator system is derived experimentally from the simultaneously measured electronic and structural data. The driving stress σFE(t) is calculated as the product of the measured voltage U(t) and polarization P(t). Unlike the electrical variables, σFE(t) and η(t) of the ferroelectric oscillate at twice the frequency of the applied electrical field. We model the measured frequency-dependent phase shift between η(t) and σFE(t).
S. P. Zeuschner, J.-E. Pudell, M. Mattern, M. Rössle, M. Herzog, A. Baldi, S.H. C. Askes, M. Bargheer
Unveiling the Nanomorphology of HfN thin Films by Ultrafast Reciprocal Space Mapping
Advanced Optical Materials 12, 2400939 (2024).
Hafnium Nitride (HfN) is a promising and very robust alternative to gold for applications of nanoscale metals. Details of the nanomorphology related to variations in strain states and optical properties can be crucial for applications in nanophotonics and plasmon-assisted chemistry. Ultrafast reciprocal space mapping (URSM) with hard X-rays is used to unveil the nanomorphology of thin HfN films. Static high-resolution X-ray diffraction reveals a twofold composition of the thin films being separated into regions with identical lattice constant and similar out-of-plane but hugely different in-plane coherence lengths. URSM upon femtosecond laser excitation reveals different transient strain dynamics for the two respective Bragg peak components. This unambiguously locates the longer in-plane coherence length in the first 15 nm of the thin film adjacent to the substrate. The transient shift of the broad diffraction peak displays the strain dynamics of the entire film, implying that the near-substrate region hosts nanocrystallites with small and large coherence length, whereas the upper part of the film grows in small columnar grains. The results illustrate that URSM is a suitable technique for non-destructive and depth-resolved investigations of the morphology of nanostructures.
M. Mattern, J. Jarecki, J. A. Arregi, V. Uhlíř, M. Rössle, and M. Bargheer
Speed limits of the laser-induced phase transition in FeRh
APL Materials 12, 051124 (2024).
We use ultrafast x-ray diffraction and the polar time-resolved magneto-optical Kerr effect to study the laser-induced metamagnetic phase transition in two FeRh films with thicknesses below and above the optical penetration depth. In the thin film, we identify an intrinsic timescale for the light-induced nucleation of ferromagnetic (FM) domains in the antiferromagnetic material of 8ps, which is substantially longer than the time it takes for strain waves to traverse the film. For the inhomogeneously excited thicker film, only the optically excited near-surface part transforms within 8ps. For strong excitations, we observe an additional slow rise of the FM phase, which we experimentally relate to a growth of the FM phase into the depth of the layer by comparing the transient magnetization in frontside and backside excitation geometry. In the lower lying parts of the film, which are only excited via near-equilibrium heat transport, the FM phase emerges significantly slower than 8ps after heating above the transition temperature.
M. Mattern, J.-E. Pudell, J. A. Arregi, J. Zlámal, R. Kalousek, V. Uhlíř, M. Rössle, and M. Bargheer
Accelerating the Laser-Induced Phase Transition in Nanostructured FeRh via Plasmonic Absorption
Advanced Functional Materials, 2313014 (2024).
By ultrafast x-ray diffraction (UXRD), it is shown that the laser-induced magnetostructural phase transition in FeRh nanoislands proceeds faster and more complete than in continuous films. An intrinsic 8 ps timescale is observed for the nucleation of ferromagnetic (FM) domains in the optically excited fraction of both types of samples. For the continuous film, the substrate-near regions are not directly exposed to light and are only slowly transformed to the FM state after heating above the transition temperature via near-equilibrium heat transport. Numerical modeling of the absorption in the investigated nanoislands reveals a strong plasmonic contribution near the FeRh/MgO interface. The larger absorption and the optical excitation of the electrons in nearly the entire volume of the nanoislands enables a rapid phase transition throughout the entire volume at the intrinsic nucleation timescale.
M. O. Adesina, M. O. Alfred, H. Seitz, K. Brennenstuhl, H. M. Rawel, P. Wessig, J. Kim, A. Wedel, W. Koopman, C. Günter, E. I. Unuabonah, and A. Taubert
Orange peel biochar/clay/titania composites: low cost, high performance, and easy-to-reuse photocatalysts for the degradation of tetracycline in water
Environmental Science: Water Research & Technology 10, 1432 (2024).
New orange peel biochar/clay/titania nanocomposites (NCs) were studied for photocatalytic degradation of tetracycline (TET) under both UV and natural solar irradiation by variation of NC dose, initial TET concentration, ionic strength, and competing anions. Total organic carbon (TOC) reduction was used to assess mineralization. Intermediate product formation during TET degradation was characterized using liquid chromatography-mass spectrometry and agar-based diffusion assays. The as-synthesized material prepared with biochar obtained at 600 °C (C600KT) exhibits the best TET degradation performance under UV light exposure and solar irradiation with up to 92 and 89% after 2 h, respectively. Especially under UV exposure, C600KT exhibits the highest apparent rate constant of 2.9 × 10−2 min−1 and a half-life of 23.9 min. About 60 and 50% TOC are removed after 2 h under UV and solar irradiation, respectively. Quenching experiments confirm that superoxide and hydroxyl radicals are the major reactive species involved in the degradation process. Furthermore, the treated effluents are harmless to both Escherichia coli and Staphylococcus xylosus, indicating that no intermediate products with higher toxicity are produced during the photocatalytic degradation. Additionally, the results show that the main fraction of TET is degraded within the first 15 min of irradiation. The C600KT composite is recyclable and retains its performance over at least four cycles, proving its stability and reusability. Overall, the new NCs are therefore highly attractive for the remediation of TET pollution in water.
Jarecki J., Mattern M., Weber F.-C., Pudell J.-E., Wang X.-G., Rojas-Sánchez J.-C., Hehn M., von Reppert A., and Bargheer M.
Controlling effective field contributions to laser-induced magnetization precession by heterostructure design
Communications Physics 7, 12 (2024).
Nanoscale heterostructure design can control laser-induced heat dissipation and strain propagation, as well as their efficiency for driving magnetization precession. Here, we incorporate MgO layers into the experimental platform of metallic Pt-Cu-Ni heterostructures to block the propagation of hot electrons. We show via ultrafast x-ray diffraction the capability of our platform to control the spatio-temporal shape of the transient heat and strain. Time-resolved magneto-optical Kerr experiments with systematic tuning of the magnetization precession frequency showcase control of the magnetization dynamics in the Ni layer. Our experimental analysis highlights the role of quasi-static strain as a driver of precession when the magnetic material is rapidly heated via electrons. The effective magnetic field change originating from demagnetization partially compensates the change induced by quasi-static strain. The strain pulses can be shaped via the nanoscale heterostructure design to efficiently drive the precession, paving the way for opto-magneto-acoustic devices with low heat energy deposited in the magnetic layer.
Mattern M., Weber F.-C., Engel D., von Korff Schmising C., and Bargheer M.
Coherent control of magnetization precession by double-pulse activation of effective fields from magnetoacoustics and demagnetization
Applied Physics Letters 124, 102402 (2024).
We demonstrate the coherent optical control of magnetization precession in a thin Ni film by a second excitation pulse, which amplifies or attenuates the precession induced by a first pulse depending on the fluences of the pump-pulses and the pump-pump delay. This control goes beyond the conventional strategy, where the same mechanism drives the precession in-phase or out-of-phase. We balance the magneto-acoustic mechanism driven by quasi-static strain and the shape-anisotropy change triggered by laser-induced demagnetization. These mechanisms tilt the transient effective magnetic field in opposite directions in the case of negative magneto-elastic coupling (b1<0). While the strain response is linear in the fluence, demagnetization is nonlinear near the Curie temperature, enabling fluence-based control scenarios.
2023
Xu X., Sarhan R. M., Mei S., Kochovski Z., Koopman W., Priestley R. D., and Lu Y.
Photothermally Triggered Nanoreactors with a Tunable Catalyst Location and Catalytic Activity
ACS Applied Materials & Interfaces 15, 48623 (2023).
Thermosensitive microgels based on poly(N-isopropylacrylamide) (PNIPAm) have been widely used to create nanoreactors with controlled catalytic activity through the immobilization of metal nanoparticles (NPs). However, traditional approaches with metal NPs located only in the polymer network rely on electric heating to initiate the reaction. In this study, we developed a photothermal-responsive yolk–shell nanoreactor with a tunable location of metal NPs. The catalytic performance of these nanoreactors can be controlled by both light irradiation and conventional heating, that is, electric heating. Interestingly, the location of the catalysts had a significant impact on the reduction kinetics of the nanoreactors; catalysts in the shell exhibited higher catalytic activity compared with those in the core, under conventional heating. When subjected to light irradiation, nanoreactors with catalysts loaded in the core demonstrated improved catalytic performance compared to direct heating, while nanoreactors with catalysts in the shell exhibited relatively similar activity. We attribute this enhancement in catalytic activity to the spatial distribution of the catalysts and the localized heating within the polydopamine cores of the nanoreactors. This research presents exciting prospects for the design of innovative smart nanoreactors and efficient photothermal-assisted catalysis.
Stete F., Bargheer M., and Koopman W.
Ultrafast dynamics in plasmon–exciton core–shell systems: the role of heat
Strong coupling between plasmons and excitons gives rise to new hybrid polariton states with potential applications in various fields. Despite a plethora of research on plasmon–exciton systems, their transient behaviour is not yet fully understood. Besides Rabi oscillations in the first few femtoseconds after optical excitation, coupled systems show interesting non-linear features on the picosecond time scale. Here, we conclusively show that the source of these features is heat that is generated inside the particles. Until now, this hypothesis was only based on phenomenological arguments. We investigate the role of heat by recording the transient spectra of plasmon–exciton core–shell nanoparticles with excitation off the polariton resonance. We present analytical simulations that precisely recreate the measurements solely by assuming an initial temperature rise of the electron gas inside the particles. The simulations combine established strategies for describing uncoupled plasmonic particles with a recently published model for static spectra. The simulations are consistent for various excitation powers, confirming that heating of the particles is indeed the root of the changes in the transient signals.
Stete F., Koopman W., Henkel C., Benson O., Kewes G., and Bargheer M.
Optical Spectra of Plasmon–Exciton Core–Shell Nanoparticles: A Heuristic Quantum Approach
ACS Photonics 10, 2511 (2023).
Light–matter coupling in plasmonic nanocavities has been widely studied in the past years. Yet, for core–shell particles, popular electromagnetic models that use the classical Lorentz oscillator to describe the shell predict extinction spectra with three maxima, if the plasmon and the shell absorption are in resonance. In contrast, experiments exhibit only two peaks, as also expected from simple quantum models of hybrid states. In order to reconcile the convenient and widely used classical electromagnetic description with experimental data, we connect it to the quantum world by conceiving a heuristic quantum model. Our model is based on the permittivity of a two-level system in a classical electric field derived from the optical Bloch equations. The light–matter coupling is included via the collective vacuum Rabi frequency Ω0. Using our model, we obtain excellent agreement with a series of experimental extinction spectra of particles with various coupling strengths due to a systematic size variation. The suppression of the third maximum, which mainly stems from the absorption in the shell, can be interpreted as a vacuum induced power broadening, which may occur in lossy (plasmonic) cavities below the strong-coupling regime.
Mattern M., von Reppert A., Zeuschner S. P., Herzog M., Pudell J.-E., and Bargheer M.
Concepts and use cases for picosecond ultrasonics with x-rays
Photoacoustics 31, 100503 (2023).
This review discusses picosecond ultrasonics experiments using ultrashort hard x-ray probe pulses to extract the transient strain response of laser-excited nanoscopic structures from Bragg-peak shifts. This method provides direct, layer-specific, and quantitative information on the picosecond strain response for structures down to few-nm thickness. We model the transient strain using the elastic wave equation and express the driving stress using Grüneisen parameters stating that the laser-induced stress is proportional to energy density changes in the microscopic subsystems of the solid, i.e., electrons, phonons and spins. The laser-driven strain response can thus serve as an ultrafast proxy for local energy-density and temperature changes, but we emphasize the importance of the nanoscale morphology for an accurate interpretation due to the Poisson effect. The presented experimental use cases encompass ultrathin and opaque metal-heterostructures, continuous and granular nanolayers as well as negative thermal expansion materials, that each pose a challenge to established all-optical techniques.
This publication is part of the Special Issue Ultrafast Photoacoustics.
Rongione E., Gueckstock O., Mattern M.,Gomonay O., Meer H., Schmitt C., Ramos R., Kikkawa T., Mičica M., Saitoh E., Sonova J., Jaffrès H., Mangeney J., Goennenwein S.T.B., Geprägs S., Kampfrath T., Kläui M., Bargheer M., Seifert T.S., Dhillon S., and Lebrun R.
Emission of coherent THz magnons in an antiferromagnetic insulator triggered by ultrafast spin–phonon interactions
Nature Communications 14, Article number: 1818 (2023)
Antiferromagnetic materials have been proposed as new types of narrowband THz spintronic devices owing to their ultrafast spin dynamics. Manipulating coherently their spin dynamics, however, remains a key challenge that is envisioned to be accomplished by spin-orbit torques or direct optical excitations. Here, we demonstrate the combined generation of broadband THz (incoherent) magnons and narrowband (coherent) magnons at 1 THz in low damping thin films of NiO/Pt. We evidence, experimentally and through modeling, two excitation processes of spin dynamics in NiO: an off-resonant instantaneous optical spin torque in (111) oriented films and a strain-wave-induced THz torque induced by ultrafast Pt excitation in (001) oriented films. Both phenomena lead to the emission of a THz signal through the inverse spin Hall effect in the adjacent heavy metal layer. We unravel the characteristic timescales of the two excitation processes found to be < 50 fs and > 300 fs, respectively, and thus open new routes towards the development of fast opto-spintronic devices based on antiferromagnetic materials.
Mattern M., Pudell J.-E., Dumesnil K., von Reppert A., and Bargheer M.
Towards shaping picosecond strain pulses via magnetostrictive transducers
Photoacoustics 30, 100463 (2023).
Using time-resolved x-ray diffraction, we demonstrate the manipulation of the picosecond strain response of a metallic heterostructure consisting of a dysprosium (Dy) transducer and a niobium (Nb) detection layer by an external magnetic field. We utilize the first-order ferromagnetic–antiferromagnetic phase transition of the Dy layer, which provides an additional large contractive stress upon laser excitation compared to its zero-field response. This enhances the laser-induced contraction of the transducer and changes the shape of the picosecond strain pulses driven in Dy and detected within the buried Nb layer. Based on our experiment with rare-earth metals we discuss required properties for functional transducers, which may allow for novel field-control of the emitted picosecond strain pulses.
2022
Deb M., Popova E., Jaffrès H.-Y., Keller N., and Bargheer M.
Polarization-dependent subpicosecond demagnetization in iron garnets
Physical Review B 106, 184416 (2022).
Controlling the magnetization dynamics at the fastest speed is a major issue of fundamental condensed matter physics and its applications for data storage and processing technologies. It requires a deep understanding of the interactions between the degrees of freedom in solids, such as spin, electron, and lattice as well as their responses to external stimuli. In this paper, we systematically investigate the fluence dependence of ultrafast magnetization dynamics induced by below-bandgap ultrashort laser pulses in the ferrimagnetic insulators Bi(x)Y(3−x)Fe5O12 with 1≤x≤3. We demonstrate subpicosecond demagnetization dynamics in this material followed by a very slow remagnetization process. We prove that this demagnetization results from an ultrafast heating of iron garnets by two-photon absorption (TPA), suggesting a phonon-magnon thermalization time of ≤0.6 ps. We explain the slow remagnetization timescale by the low phonon heat conductivity in garnets. Additionally, we show that the amplitudes of the demagnetization, optical change, and lattice strain can be manipulated by changing the ellipticity of the pump pulses. We explain this phenomenon considering the TPA circular dichroism. These findings open exciting prospects for ultrafast manipulation of spin, charge, and lattice dynamics in magnetic insulators by ultrafast nonlinear optics.
Zeuschner S. P., Wang X.-G., Deb M., Popova E., Malinowski G., Hehn M., Keller N., Berakdar J., and Bargheer M.
Standing spin wave excitation in Bi:YIG films via temperature-induced anisotropy changes and magneto-elastic coupling
Physical Review B 106, 134401 (2022).
Based on micromagnetic simulations and experimental observations of the magnetization and lattice dynamics after the direct optical excitation of the magnetic insulator Bi : YIG or indirect excitation via an optically opaque Pt/Cu double layer, we disentangle the dynamical effects of magnetic anisotropy and magneto-elastic coupling. The strain and temperature of the lattice are quantified via modeling ultrafast x-ray diffraction data. Measurements of the time-resolved magneto-optical Kerr effect agree well with the magnetization dynamics simulated according to the excitation via two mechanisms: the magneto-elastic coupling to the experimentally verified strain dynamics and the ultrafast temperature-induced transient change in the magnetic anisotropy. The numerical modeling proves that, for direct excitation, both mechanisms drive the fundamental mode with opposite phase. The relative ratio of standing spin wave amplitudes of higher-order modes indicates that both mechanisms are substantially active.
Deb M., Popova E., Jaffrès H.-Y., Keller N., and Bargheer M.
Controlling High-Frequency Spin-Wave Dynamics Using Double-Pulse Laser Excitation
Physical Review Applied 18, 044001 (2022).
Manipulating spin waves is highly required for the development of innovative data transport and processing technologies. Recently, the possibility of triggering high-frequency standing spin waves in magnetic insulators using femtosecond laser pulses was discovered, raising the question about how one can manipulate their dynamics. Here we explore this question by investigating the ultrafast magnetization and spin-wave dynamics induced by double-pulse laser excitation. We demonstrate a suppression or enhancement of the amplitudes of the standing spin waves by precisely tuning the time delay between the two pulses. The results can be understood as the constructive or destructive interference of the spin waves induced by the first and second laser pulses. Our findings open exciting perspectives towards generating single-mode standing spin waves that combine high frequency with large amplitude and low magnetic damping.
Herzog M., von Reppert A., Pudell J.-E., Henkel C., Kronseder M., Back C. H., Maznev A., and Bargheer M.
Phonon-dominated energy transport in purely metallic heterostructures
Advanced Functional Materials 32, 2206179 (2022).
We use ultrafast x-ray diffraction to quantify the transport of energy in laser-excited nanoscale Au/Ni bilayers. Electron transport and efficient electron-phonon coupling in Ni convert the laser-deposited energy in the conduction electrons within a few picoseconds into a strong non-equilibrium between hot Ni and cold Au phonons at the bilayer interface. Modeling of the subsequent equilibration dynamics within various two-temperature models confirms that for ultrathin Au films the thermal transport is dominated by phonons instead of conduction electrons because of the weak electron-phonon coupling in Au.
Mor S., Herzog M., Monney C., and Stähler J.
Ultrafast charge carrier and exciton dynamics in an excitonic insulator probed by time-resolved photoemission spectroscopy
Progress in Surface Science 97, 100679 (2022).
(alternative open-access version on arXiv: here)
An excitonic insulator phase is expected to arise from the spontaneous formation of electron–hole pairs (excitons) in semiconductors where the exciton binding energy exceeds the size of the electronic band gap. At low temperature, these ground state excitons stabilize a new phase by condensing at lower energy than the electrons at the valence band top, thereby widening the electronic band gap. The envisioned opportunity to explore many-boson phenomena in an excitonic insulator system is triggering a very active debate on how ground state excitons can be experimentally evidenced. Here, we employ a nonequilibrium approach to spectrally disentangle the photoinduced dynamics of an exciton condensate from the entwined signature of the valence band electrons. By means of time- and angle-resolved photoemission spectroscopy of the occupied and unoccupied electronic states, we follow the complementary dynamics of conduction and valence band electrons in the photoexcited low-temperature phase of Ta2NiSe5, the hitherto most promising single-crystal candidate to undergo a semiconductor-to-excitonic-insulator phase transition. The photoexcited conduction electrons are found to relax within less than 1 ps. Their relaxation time is inversely proportional to their excess energy, a dependence that we attribute to the reduced screening of Coulomb interaction and the low dimensionality of Ta2NiSe5. Long after (> 10 ps) the conduction band has emptied, the photoemission intensity below the Fermi energy has not fully recovered the equilibrium value. Notably, this seeming carrier imbalance cannot be rationalized simply by the relaxation of photoexcited electrons and holes across the semiconducting band gap. Rather, a rate equation model involving different photoemission crosssections of the valence electrons and the condensed excitons is able to reproduce the delayed recovery of the photoemission intensity below the Fermi energy. The model shows that electron quantum tunnelling between the exciton condensate and the valence band top is enabled by an extremely small activation energy of 4 µeV and explains the retarded recovery of the exciton condensate. Our findings not only determine the energy gain of ground state exciton formation with exceptional energy resolution, but also demonstrate the use of time-resolved photoemission to unveil the re-formation dynamics of an exciton condensate with femtosecond time resolution.
Please check out the following video explaining the physics in excitonic insulators disclosed by this study:
https://www.youtube.com/watch?v=Rx_FSgVe6-U
Shayduk R., Hallmann J., Rodriguez-Fernandez A., Scholz M., Lu W., Bosenberg U., Möller J., Zozulya A., Jiang M., Wegner U., Secareanu R.-C., Palmer G., Emons M., Lederer M., Volkov S., Lindfors-Vrejoiu I., Schick D., Herzog M., Bargheer M., and Madsen A.
Femtosecond X-ray diffraction study of multi-THz coherent phonons in SrTiO3
Applied Physics Letters 120, 202203 (2022).
We report generation of ultra-broadband longitudinal coherent acoustic phonon wavepackets in SrTiO3 (STO) with frequency components extending throughout the entire first Brillouin zone. The wavepackets are efficiently generated in STO using femtosecond infrared laser excitation of an atomically flat 1.6 nm-thick epitaxial SrRuO3 film. We use femtosecond x-ray diffraction at the European X-ray Free Electron Laser Facility to study the dispersion and damping of phonon wavepackets. The experimentally determined damping constants for the multi-THz frequency phonons compare favorably to the extrapolation of a simple ultrasound damping model over several orders of magnitude.
Zhao Y., Sarhan R. M., Eljarrat A., Kochovski Z., Koch C., Schmidt B., Koopman W., and Lu Y.
Surface-Functionalized Au–Pd Nanorods with Enhanced Photothermal Conversion and Catalytic Performance
ACS Applied Matererials & Interfaces 14, 17259 (2022).
Bimetallic nanostructures comprising plasmonic and catalytic components have recently emerged as a promising approach to generate a new type of photo-enhanced nanoreactors. Most designs however concentrate on plasmon-induced charge separation, leaving photo-generated heat as a side product. This work presents a photoreactor based on Au–Pd nanorods with an optimized photothermal conversion, which aims to effectively utilize the photo-generated heat to increase the rate of Pd-catalyzed reactions. Dumbbell-shaped Au nanorods were fabricated via a seed-mediated growth method using binary surfactants. Pd clusters were selectively grown at the tips of the Au nanorods, using the zeta potential as a new synthetic parameter to indicate the surfactant remaining on the nanorod surface. The photothermal conversion of the Au–Pd nanorods was improved with a thin layer of polydopamine (PDA) or TiO2. As a result, a 60% higher temperature increment of the dispersion compared to that for bare Au rods at the same light intensity and particle density could be achieved. The catalytic performance of the coated particles was then tested using the reduction of 4-nitrophenol as the model reaction. Under light, the PDA-coated Au–Pd nanorods exhibited an improved catalytic activity, increasing the reaction rate by a factor 3. An analysis of the activation energy confirmed the photoheating effect to be the dominant mechanism accelerating the reaction. Thus, the increased photothermal heating is responsible for the reaction acceleration. Interestingly, the same analysis shows a roughly 10% higher reaction rate for particles under illumination compared to under dark heating, possibly implying a crucial role of localized heat gradients at the particle surface. Finally, the coating thickness was identified as an essential parameter determining the photothermal conversion efficiency and the reaction acceleration.
Mattern M., von Reppert A., Zeuschner S., Pudell J.-E., Kühne F., Diesing D., Herzog M., and Bargheer M.
Electronic energy transport in nanoscale Au/Fe hetero-structures in the perspective of ultrafast lattice dynamics
Applied Physics Letters 120, 092401 (2022).
We study the ultrafast electronic transport of energy in a photoexcited nanoscale Au/Fe hetero-structure by modeling the spatiotemporal profile of energy densities that drives transient strain, which we quantify by femtosecond x-ray diffraction. This flow of energy is relevant for intrinsic demagnetization and ultrafast spin transport. We measured lattice strain for different Fe layer thicknesses ranging from few atomic layers to several nanometers and modeled the spatiotemporal flow of energy densities. The combination of a high electron-phonon coupling coefficient and a large Sommerfeld constant in Fe is found to yield electronic transfer of nearly all energy from Au to Fe within the first hundreds of femtoseconds.
This article is part of the APL special issue "Spintronics" and was highlighted as "Editor's Pick".
Rössle M., Thomas O., Mocuta C., Rousset R., Texier M., Escoubas S., Dubourdieu C., Araújo E. B., and Cornelius T. W.
Time-resolved piezoelectric response in relaxor ferroelectric (Pb0.88La0.12)(Zr0.52Ti0.48)O3 thin films
Journal of Applied Physics 131, 064102 (2022).
The domain switching dynamics in a relaxor ferroelectric lanthanum-modified lead zirconate titanate thin film with 12 mol. % La was investigated by time-resolved x-ray diffraction. While most frequently epitaxial thin films are investigated, the present work reports results on a polycrystalline thin film. Asymmetric butterfly loops of the strain as a function of the applied electric field evidenced a built-in electric field oriented toward the thin film–substrate interface. The piezoelectric coefficient d33 (in the film reference frame) diminishes with the increasing frequency of an applied AC electric field. From the strain transient during the application of positive-up negative-down voltage pulse sequences with frequencies of up to 100 kHz, characteristic times of the order of 100–200 ns were determined for these relaxor ferroelectric thin films. While switching times ranging from the picosecond to the millisecond range are reported in the literature for different materials, these characteristic switching times are comparable to epitaxial lead zirconate titanate thin films of various compositions despite the polycrystallinity of the present thin film. However, the evidenced built-in electric field significantly influences the switching behavior for different polarities.
2021
Koopman W., Titov E., Sarhan R. M., Gaebel T., Schürmann R., Mostafa A., Kogikoski Jr. S., Milosavljević A. R., Stete F., Liebig F., Schmitt C. N. Z., Koetz J., Bald I., Saalfrank P., and Bargheer M.
The Role of Structural Flexibility in Plasmon-Driven Coupling Reactions: Kinetic Limitations in the Dimerization of Nitro-Benzenes
Advanced Materials Interfaces, 2101244 (2021).
The plasmon-driven dimerization of 4-nitrothiophenol (4NTP) to 4-4′-dimercaptoazobenzene (DMAB) is a testbed for understanding bimolecular photoreactions enhanced by nanoscale metals, in particular, regarding the relevance of electron transfer and heat transfer from the metal to the molecule. By adding a methylene group between the thiol bond and the nitrophenyl, structural flexibility is added to the reactant molecule. Time-resolved surface-enhanced Raman-spectroscopy proves that this (4-nitrobenzyl)mercaptan (4NBM) molecule has a larger dimerization rate and dimerization yield than 4NTP and higher selectivity toward dimerization. X-ray photoelectron spectroscopy and density functional theory calculations show that the electron transfer prefers activation of 4NTP over 4NBM. It is concluded that the rate limiting step of this plasmonic reaction is the dimerization step, which is dramatically enhanced by the additional flexibility of the reactant. This study may serve as an example for using nanoscale metals to simultaneously provide charge carriers for bond activation and localized heat for driving bimolecular reaction steps. The molecular structure of reactants can be tuned to control the reaction kinetics.
This article is selected as "Hot Topic: Surfaces and Interfaces".
Vadilonga S., Zizak I., Roshchupkin D., Emelin E., Leitenberger W., Rössle M., and Erko A.
Piezo-modulated active grating for selecting X-ray pulses separated by one nanosecond
Optics Express 29, 34962 (2021).
We present a novel method of temporal modulation of X-ray radiation for time resolved experiments. To control the intensity of the X-ray beam, the Bragg reflection of a piezoelectric crystal is modified using comb-shaped electrodes deposited on the crystal surface. Voltage applied to the electrodes induces a periodic deformation of the crystal that acts as a diffraction grating, splitting the original Bragg reflection into several satellites. A pulse of X-rays can be created by rapidly switching the voltage on and off. In our prototype device the duty cycle was limited to ∼1 ns by the driving electronics. The prototype can be used to generate X-ray pulses from a continuous source. It can also be electrically correlated to a synchrotron light source and be activated to transmit only selected synchrotron pulses. Since the device operates in a non-resonant mode, different activation patterns and pulse durations can be achieved.
Mattern M., Pudell J.-E., Laskin G., von Reppert A., and Bargheer M.
Analysis of the temperature- and fluence-dependent magnetic stress in laser-excited SrRuO3
Structural Dynamics 8, 024302 (2021).
We use ultrafast x-ray diffraction to investigate the effect of expansive phononic and contractive magnetic stress driving the picosecond strain response of a metallic perovskite SrRuO3 thin film upon femtosecond laser excitation. We exemplify how the anisotropic bulk equilibrium thermal expansion can be used to predict the response of the thin film to ultrafast deposition of energy. It is key to consider that the laterally homogeneous laser excitation changes the strain response compared to the near-equilibrium thermal expansion because the balanced in-plane stresses suppress the Poisson stress on the picosecond timescale. We find a very large negative Grüneisen constant describing the large contractive stress imposed by a small amount of energy in the spin system. The temperature and fluence dependence of the strain response for a double-pulse excitation scheme demonstrates the saturation of the magnetic stress in the high-fluence regime.
Rössle M., Leitenberger W., Reinhardt M., Koç A., Pudell J.-E., Kwamen C., and Bargheer M.
The time-resolved hard X-ray diffraction endstation KMC-3 XPP at BESSY II
Journal of Synchrotron Radiation 28, 1 (2021).
The time-resolved hard X-ray diffraction endstation KMC-3 XPP for optical pump/X-ray probe experiments at the electron storage ring BESSY II is dedicated to investigating the structural response of thin film samples and heterostructures after their excitation with ultrashort laser pulses and/or electric field pulses. It enables experiments with access to symmetric and asymmetric Bragg reflections via a four-circle diffractometer and it is possible to keep the sample in high vacuum and vary the sample temperature between ∼15 K and 350 K. The femtosecond laser system permanently installed at the beamline allows for optical excitation of the sample at 1028 nm. A non-linear optical setup enables the sample excitation also at 514 nm and 343 nm. A time-resolution of 17 ps is achieved with the `low-α' operation mode of the storage ring and an electronic variation of the delay between optical pump and hard X-ray probe pulse conveniently accesses picosecond to microsecond timescales. Direct time-resolved detection of the diffracted hard X-ray synchrotron pulses use a gated area pixel detector or a fast point detector in single photon counting mode. The range of experiments that are reliably conducted at the endstation and that detect structural dynamics of samples excited by laser pulses or electric fields are presented.
Deb M., Popova E., Zeuschner S. P., Leitenberger W., Keller N., Rössle M., and Bargheer M.
Ultrafast control of lattice strain via magnetic circular dichroism
Physical Review B 103, 064301 (2021).
Using ultrafast x-ray diffraction, we directly monitor the lattice dynamics induced by femtosecond laser pulses in nanoscale thin films of bismuth iron garnet in external magnetic fields H_ext . We control the ultrafast laserinduced lattice strain amplitude by changing the laser pulse helicity. The strength of H_ext is used as an external parameter to switch the helicity dependence on and off, respectively. Based on magneto-optical spectroscopic measurements, we explain these phenomena by magnetic circular dichroism. Our findings highlight an important approach for ultrafast manipulation of lattice strain in magnetic materials, in particular insulators, and open exciting perspectives towards ultrafast control of lattice strain and heat-induced magnetization switching and spin waves in bismuth-substituted iron garnets using the polarization of light.
Schmidt D., Bauer R., Chung S., Novikov D., Sander M., Pudell J.-E., Herzog M., Pfuetzenreuter D., Schwarzkopf J., Chernikov R., and Gaal P.
A new concept for temporal gating of synchrotron X-ray pulses
Journal of Synchrotron Radiation 28 (2021).
A new concept for temporal gating of synchrotron X-ray pulses based on laser-induced thermal transient gratings is presented. First experimental tests of the concept yield a diffraction efficiency of 0.18%; however, the calculations indicate a theoretical efficiency and contrast of >30% and 10^(−5), respectively. The full efficiency of the pulse picker has not been reached yet due to a long-range thermal deformation of the sample after absorption of the excitation laser. This method can be implemented in a broad spectral range (100 eV to 20 keV) and is only minimally invasive to an existing setup.
Zeuschner S. P., Mattern M., Pudell J.-E., Reppert A. v., Rössle M., Leitenberger W., Schwarzkopf J., Boschker J. E., Herzog M., and Bargheer M.
Reciprocal space slicing: A time-efficient approach to femtosecond x-ray diffraction
Structural Dynamics 8, 014302 (2021).
An experimental technique that allows faster assessment of out-of-plane strain dynamics of thin film heterostructures via x-ray diffraction is presented. In contrast to conventional high-speed reciprocal space-mapping setups, our approach reduces the measurement time drastically due to a fixed measurement geometry with a position-sensitive detector. This means that neither the incident (ω) nor the exit (2θ) diffraction angle is scanned during the strain assessment via x-ray diffraction. Shifts of diffraction peaks on the fixed x-ray area detector originate from an out-of-plane strain within the sample. Quantitative strain assessment requires the determination of a factor relating the observed shift to the change in the reciprocal lattice vector. The factor depends only on the widths of the peak along certain directions in reciprocal space, the diffraction angle of the studied reflection, and the resolution of the instrumental setup. We provide a full theoretical explanation and exemplify the concept with picosecond strain dynamics of a thin layer of NbO2.
Deb M., Popova E., Zeuschner S. P., Hehn M., Keller N., Mangin S., Malinowski G., and Bargheer M.
Generation of spin waves via spin-phonon interaction in a buried dielectric thin film
Physical Review B 103, 024411 (2021).
In this paper, we investigate the magnetic, optical, and lattice responses of a Pt/Cu/Bi1Y2Fe5O12/Gd3Ga5O12 heterostructure to femtosecond laser excitation of the opaque Pt/Cu metallic bilayer. The electronic excitation generates coherent and incoherent phonons, which trigger high-frequency standing spin waves (SWs) in the dielectric Bi1Y2Fe5O12 layer via a phonon-induced change of magnetic anisotropy. We find that the incoherent phonons (heat) can induce a fast (<1ps) and slow (>1000ps) decrease of the magnetic order by different spin-phonon interaction scenarios. These results open perspectives for generating high-frequency SWs in buried magnetic garnets.
2020
Koopman W., Sarhan R. M., Stete F., Schmitt C. N. Z., and Bargheer M.
Decoding the kinetic limitations of plasmon catalysis: the case of 4-nitrothiophenol dimerization
Plasmon-mediated chemistry presents an intriguing new approach to photocatalysis. However, the reaction enhancement mechanism is not well understood. In particular, the relative importance of plasmon-generated hot charges and photoheating is strongly debated. In this article, we evaluate the influence of microscopic photoheating on the kinetics of a model plasmon-catalyzed reaction: the light-induced 4-nitrothiophenol (4NTP) to 4,4′-dimercaptoazobenzene (DMAB) dimerization. Direct measurement of the reaction temperature by nanoparticle Raman-thermometry demonstrated that the thermal effect plays a dominant role in the kinetic limitations of this multistep reaction. At the same time, no reaction is possible by dark heating to the same temperature. This shows that plasmon nanoparticles have the unique ability to enhance several steps of complex tandem reactions simultaneously. These results provide insight into the role of hot electron and thermal effects in plasmonic catalysis of complex organic reactions, which is highly important for the ongoing development of plasmon based photosynthesis.
Monney C., Herzog M., Pulkkinen A., Huang Y., Pelliciari J., Olalde-Velasco P., Katayama N., Nohara M., Takagi H., Schmitt T., and Mizokawa T.
Mapping the unoccupied state dispersions in Ta2NiSe5 with resonant inelastic x-ray scattering
Physical Review B 102, 085148 (2020).
The transition metal chalcogenide Ta2NiSe5 undergoes a second-order phase transition at Tc=328K involving a small lattice distortion. Below Tc, a band gap at the center of its Brillouin zone increases up to about 0.35 eV. In this work, we study the electronic structure of Ta2NiSe5 in its low-temperature semiconducting phase, using resonant inelastic x-ray scattering (RIXS) at the Ni L3 edge. In addition to a weak fluorescence response, we observe a collection of intense Raman-like peaks that we attribute to electron-hole excitations. Using density functional theory calculations of its electronic band structure, we identify the main Raman-like peaks as interband transitions between valence and conduction bands. By performing angle-dependent RIXS measurements, we uncover the dispersion of these electron-hole excitations that allows us to extract the low-energy boundary of the electron-hole continuum. From the dispersion of the valence band measured by angle-resolved photoemission spectroscopy, we derive the effective mass of the lowest unoccupied conduction band.
Pudell J.E., Mattern M., Hehn M., Malinowski G., Herzog M., and Bargheer M.
Heat Transport without Heating?—An Ultrafast X‐Ray Perspective into a Metal Heterostructure
Advanced Functional Materials 30, 2004555 (2020).
Rewarded as Inside Back Cover article:
Advanced Functional Materials 30, 2070304 (2020).
When the spatial dimensions of metallic heterostructures shrink below the mean free path of its conduction electrons, the transport of electrons and hence the transport of thermal energy by electrons continuously changes from diffusive to ballistic. Electron–phonon coupling sets the mean free path to the nanoscale and the time for equilibration of electron and lattice temperatures to the picosecond range. A particularly intriguing situation occurs in trilayer heterostructures combining metals with very different electron–phonon coupling strength: Heat energy deposited in few atomic layers of Pt is transported into a nanometric Ni film, which is heated more than the Cu film through which the heat is released. Femtosecond pump‐probe experiments with hard X‐ray pulses provide a layer‐specific probe of the heat energy. A purely diffusive two‐temperature model with increased thermal conductivity of hot electrons excellently reproduces the observed signals from all three layers. At the time when the Ni lattice is maximally heated, no significant heat has entered the Cu lattice. This phenomenon would be enhanced in thinner layers where ballistic transport dominates. In this context it is shown that purely diffusive transport can lead to a linear time‐to‐length dependence that must not be misinterpreted as ballistic transport.
Roshchupkin D., Ortega L., Vadilonga S., Zizak I., Emelin E., Plotitcyna O., Thiaudière D., Leitenberger W., Formoso V., and Fettar F.
X-ray diffraction on La3Ga5SiO14 crystal modulated by SAW near the K absorption edge of Ga
Applied Physics Letters 116, 174101 (2020).
The process of x-ray diffraction on the La3Ga5SiO14 (LGS) crystal modulated by surface acoustic waves (SAWs) near the K absorption edge of Ga (E=10 367 eV) was studied. A redistribution of the diffracted x-ray intensity between the diffraction satellites occurs at the absorption edge due to the change in the x-ray penetration depth into the crystal and an effective change in the interaction of x-ray radiation with the near-surface crystal region modulated by SAW. The intensity distribution of the diffraction satellites starts to change smoothly immediately after the K absorption edge of Ga with a decrease in the x-ray penetration depth into the crystal.
Reppert A. v., Willig L., Pudell J.-E., Zeuschner S. P., Sellge G., Ganss F., Hellwig O., Arregi J. A., Uhlíř V., Crut A., and Bargheer M.
Spin stress contribution to the lattice dynamics of FePt
Science Advances 6, eaba1142 (2020)
Invar-behavior occurring in many magnetic materials has long been of interest to materials science. Here, we show not only invar behavior of a continuous film of FePt but also even negative thermal expansion of FePt nanograins upon equilibrium heating. Yet, both samples exhibit pronounced transient expansion upon laser heating in femtosecond x-ray diffraction experiments. We show that the granular microstructure is essential to support the contractive out-of-plane stresses originating from in-plane expansion via the Poisson effect that add to the uniaxial contractive stress driven by spin disorder. We prove the spin contribution by saturating the magnetic excitations with a first laser pulse and then detecting the purely expansive response to a second pulse. The contractive spin stress is reestablished on the same 100-ps time scale that we observe for the recovery of the ferromagnetic order. Finite-element modeling of the mechanical response of FePt nanosystems confirms the morphology dependence of the dynamics.
Zeuschner S. P., Pudell J.-E., Reppert A. v., Deb M., Popova E., Keller N., Rössle M., Herzog M., and Bargheer M.
Measurement of transient strain induced by two-photon excitation
Physical Review Research 2, 022013(R) (2020).
By ultrafast x-ray diffraction we quantify the strain from coherent and incoherent phonons generated by one- and two-photon absorption. We investigated the ferrimagnetic insulator bismuth-doped yttrium iron garnet, which is a workhorse for laser-induced spin dynamics that may be excited indirectly via phonons. We identify the two-photon absorption by the quadratic intensity dependence of the transient strain and confirm a short lifetime of the intermediate state via the inverse proportional dependence on the pump-pulse duration. We determine the two-photon absorption coefficient using the linear relation between strain and absorbed energy density. For large intensities of about 1 TW/cm² considerable strain amplitudes of 0.1% are driven exclusively by two-photon absorption.
Reppert A. v., Matter M., Pudell J.-E., Zeuschner S. P., Dumesnil K., and Bargheer M.
Unconventional picosecond strain pulses resulting from the saturation of magnetic stress within a photoexcited rare earth layer
Structural Dynamics 7, 024303 (2020).
Optical excitation of spin-ordered rare earth metals triggers a complex response of the crystal lattice since expansive stresses from electron and phonon excitations compete with a contractive stress induced by spin disorder. Using ultrafast x-ray diffraction experiments, we study the layer specific strain response of a dysprosium film within a metallic heterostructure upon femtosecond laser-excitation. The elastic and diffusive transport of energy to an adjacent, non-excited detection layer clearly separates the contributions of strain pulses and thermal excitations in the time domain. We find that energy transfer processes to magnetic excitations significantly modify the observed conventional bipolar strain wave into a unipolar pulse. By modeling the spin system as a saturable energy reservoir that generates substantial contractive stress on ultrafast timescales, we can reproduce the observed strain response and estimate the time- and space-dependent magnetic stress. The saturation of the magnetic stress contribution yields a non-monotonous total stress within the nanolayer, which leads to unconventional picosecond strain pulses.
Liebig F., Sarhan R. M., Bargheer M., Schmitt C. N. Z., Poghosyan A. H., Shahinyan A. A., and Koetz J.
Spiked gold nanotriangles: formation, characterization and applications in surface-enhanced Raman spectroscopy and plasmon-enhanced catalysis
We show the formation of metallic spikes on the surface of gold nanotriangles (AuNTs) by using the same reduction process which has been used for the synthesis of gold nanostars. We confirm that silver nitrate operates as a shape-directing agent in combination with ascorbic acid as the reducing agent and investigate the mechanism by dissecting the contribution of each component, i.e., anionic surfactant dioctyl sodium sulfosuccinate (AOT), ascorbic acid (AA), and AgNO3. Molecular dynamics (MD) simulations show that AA attaches to the AOT bilayer of nanotriangles, and covers the surface of gold clusters, which is of special relevance for the spike formation process at the AuNT surface. The surface modification goes hand in hand with a change of the optical properties. The increased thickness of the triangles and a sizeable fraction of silver atoms covering the spikes lead to a blue-shift of the intense near infrared absorption of the AuNTs. The sponge-like spiky surface increases both the surface enhanced Raman scattering (SERS) cross section of the particles and the photo-catalytic activity in comparison with the unmodified triangles, which is exemplified by the plasmon-driven dimerization of 4-nitrothiophenol (4-NTP) to 4,4′-dimercaptoazobenzene (DMAB).
Liebig F., Sarhan R. M., Schmitt C. N., Thünemann A., Prietzel C., Bargheer M., and Koetz J.
Gold Nanotriangles with Crumble Topping and their Influence on Catalysis and Surface-Enhanced Raman Spectroscopy
By adding hyaluronic acid (HA) to dioctyl sodium sulfosuccinate (AOT)‐stabilized gold nanotriangles (AuNTs) with an average thickness of 7.5±1 nm and an edge length of about 175±17 nm, the AOT bilayer is replaced by a polymeric HA‐layer leading to biocompatible nanoplatelets. The subsequent reduction process of tetrachloroauric acid in the HA‐shell surrounding the AuNTs leads to the formation of spherical gold nanoparticles on the platelet surface. With increasing tetrachloroauric acid concentration, the decoration with gold nanoparticles can be tuned. SAXS measurements reveal an increase of the platelet thickness up to around 14.5 nm, twice the initial value of bare AuNTs. HRTEM micrographs show welding phenomena between densely packed particles on the platelet surface, leading to a crumble formation while preserving the original crystal structure. Crumbles crystallized on top of the platelets enhance the Raman signal by a factor of around 20, and intensify the plasmon‐driven dimerization of 4‐nitrothiophenol (4‐NTP) to 4,4′‐dimercaptoazobenzene in a yield of up to 50 %. The resulting crumbled nanotriangles, with a biopolymer shell and the absorption maximum in the second window for in vivo imaging, are promising candidates for biomedical sensing.
2019
Willig L., von Reppert A., Deb M., Ganss F., Hellwig O., and Bargheer M.
Finite-size effects in ultrafast remagnetization dynamics of FePt
Physical Review B 100, 224408 (2019).
We investigate the ultrafast magnetization dynamics of FePt in the L10 phase after an optical heating pulse, as used in heat-assisted magnetic recording. We compare continuous and nano-granular thin films and emphasize the impact of the finite size on the remagnetization dynamics. The remagnetization speeds up significantly with increasing external magnetic field only for the continuous film, where domain-wall motion governs the dynamics. The ultrafast remagnetization dynamics in the continuous film are only dominated by heat transport in the regime of high magnetic fields, whereas the timescale required for cooling is prevalent in the granular film for all magnetic field strengths. These findings highlight the necessary conditions for studying the intrinsic heat transport properties in magnetic materials.
Deb M., Popova E., Hehn M., Keller N., Petit-Watelot S., Bargheer M., Mangin S., Malinowski G.
Damping of Standing Spin Waves in Bismuth-Substituted Yttrium Iron Garnet as Seen via the Time-Resolved Magneto-Optical Kerr Effect
Physical Review Applied 12, 044006 (2019).
We investigate spin-wave resonance modes and their damping in insulating thin films of bismuth-substituted yttrium iron garnet by performing femtosecond magneto-optical pump-probe experiments. For large magnetic fields in the range below the magnetization saturation, we find that the damping of high-order standing spin-wave (SSW) modes is about 40 times lower than that for the fundamental one. The observed phenomenon can be explained by considering different features of magnetic anisotropy and exchange fields that, respectively, define the precession frequency for fundamental and high-order SSWs. These results provide further insight into SSWs in iron garnets and may be exploited in many new photomagnonic devices.
Pudell J.-E., Sander M., Bauer R., Bargheer M., Herzog M., and Gaal P.
Full Spatiotemporal Control of Laser-Excited Periodic Surface Deformations
Physical Review Applied 12, 024036 (2019).
We demonstrate full control of acoustic and thermal periodic deformations at solid surfaces down to subnanosecond time scales and few-micrometer length scales via independent variation of the temporal and spatial phase of two optical transient grating (TG) excitations. For this purpose, we introduce an experimental setup that exerts control of the spatial phase of subsequent time-delayed TG excitations depending on their polarization state. Specific exemplary coherent control cases are discussed theoretically and corresponding experimental data are presented in which time-resolved x-ray reflectivity measures the spatiotemporal surface distortion of nanolayered heterostructures. Finally, we discuss examples where the application of our method may enable the control of functional material properties via tailored spatiotemporal strain fields.
Liebig F., Henning R., Sarhan R. M., Prietzel C., Schmitt C. N. Z., Bargheer M., and Koetz J.
A simple one-step procedure to synthesise gold nanostars in concentrated aqueous surfactant solutions
Due to the enhanced electromagnetic field at the tips of metal nanoparticles, the spiked structure of gold nanostars (AuNSs) is promising for surface-enhanced Raman scattering (SERS). Therefore, the challenge is the synthesis of well designed particles with sharp tips. The influence of different surfactants, i.e., dioctyl sodium sulfosuccinate (AOT), sodium dodecyl sulfate (SDS), and benzylhexadecyldimethylammonium chloride (BDAC), as well as the combination of surfactant mixtures on the formation of nanostars in the presence of Ag+ ions and ascorbic acid was investigated. By varying the amount of BDAC in mixed micelles the core/spike-shell morphology of the resulting AuNSs can be tuned from small cores to large ones with sharp and large spikes. The concomitant red-shift in the absorption toward the NIR region without losing the SERS enhancement enables their use for biological applications and for time-resolved spectroscopic studies of chemical reactions, which require a permanent supply with a fresh and homogeneous solution. HRTEM micrographs and energy-dispersive X-ray (EDX) experiments allow us to verify the mechanism of nanostar formation according to the silver underpotential deposition on the spike surface in combination with micelle adsorption.
Deb M., Popova E., Hehn M., Keller N., Petit-Watelot S., Bargheer M., Mangin S., and Malinowski G.
Femtosecond Laser-Excitation-Driven High Frequency Standing Spin Waves in Nanoscale Dielectric Thin Films of Iron Garnets
Physical Review Letters 123, 027202 (2019).
We demonstrate that femtosecond laser pulses allow triggering high-frequency standing spin-wave modes in nanoscale thin films of a bismuth-substituted yttrium iron garnet. By varying the strength of the external magnetic field, we prove that two distinct branches of the dispersion relation are excited for all the modes. This is reflected in particular at a very weak magnetic field (∼33 mT) by a spin dynamics with a frequency up to 15 GHz, which is 15 times higher than the one associated with the ferromagnetic resonance mode. We argue that this phenomenon is triggered by ultrafast changes of the magnetic anisotropy via laser excitation of incoherent and coherent phonons. These findings open exciting prospects for ultrafast photo magnonics.
Kwamen C., Rössle M., Leitenberger W., Alexe M., and Bargheer M.
Time-resolved X-ray diffraction study of the structural dynamics in an epitaxial ferroelectric thin Pb(Zr0.2Ti0.8)O3 film induced by sub-coercive fields
Applied Physics Letters 114, 162907 (2019).
The electric field-dependence of structural dynamics in a tetragonal ferroelectric lead zirconate titanate thin film is investigated under subcoercive and above-coercive fields using time-resolved X-ray diffraction. The domain nucleation and growth are monitored in real time during the application of an external field to the prepoled thin film capacitor. We propose the observed broadening of the in-plane peak width of the symmetric 002 Bragg reflection as an indicator of the domain disorder and discuss the processes that change the measured peak intensity. Subcoercive field switching results in remnant disordered domain configurations.
Zeuschner, S. P., Parpiiev T., Pezeril T., Hillion A., Dumesnil K., Anane A., Pudell J.-E., Willig L., Rössle M., Herzog M., Reppert A. v., and Bargheer M.
Tracking picosecond strain pulses in heterostructures that exhibit giant magnetostriction
Structural Dynamics 6, 024302 (2019).
We combine ultrafast X-ray diffraction (UXRD) and time-resolved Magneto-Optical Kerr Effect (MOKE) measurements to monitor the strain pulses in laser-excited TbFe2/Nb heterostructures. Spatial separation of the Nb detection layer from the laser excitation region allows for a background-free characterization of the laser-generated strain pulses. We clearly observe symmetric bipolar strain pulses if the excited TbFe2 surface terminates the sample and a decomposition of the strain wavepacket into an asymmetric bipolar and a unipolar pulse, if a SiO2 glass capping layer covers the excited TbFe2 layer. The inverse magnetostriction of the temporally separated unipolar strain pulses in this sample leads to a MOKE signal that linearly depends on the strain pulse amplitude measured through UXRD. Linear chain model simulations accurately predict the timing and shape of UXRD and MOKE signals that are caused by the strain reflections from multiple interfaces in the heterostructure.
Pudell J.-E., Reppert A. v., Schick D., Zamponi F., Rössle M., Herzog M., Zabel H., and Bargheer M.
Ultrafast negative thermal expansion driven by spin disorder
Physical Review B 99, 094304 (2019).
We measure the transient strain profile in a nanoscale multilayer system composed of yttrium, holmium,
and niobium after laser excitation using ultrafast x-ray diffraction. The strain propagation through each
layer is determined by transient changes in the material-specific Bragg angles. We experimentally derive the
exponentially decreasing stress profile driving the strain wave and show that it closely matches the optical
penetration depth. Below the Néel temperature of Ho, the optical excitation triggers negative thermal expansion,
which is induced by a quasi-instantaneous contractive stress and a second contractive stress contribution
increasing on a 12-ps timescale. These two timescales were recently measured for the spin disordering in Ho
[Rettig et al., Phys. Rev. Lett. 116, 257202 (2016)]. As a consequence, we observe an unconventional bipolar
strain pulse with an inverted sign traveling through the heterostructure.
Sarhan R. M., Koopman W., Pudell J.-E., Stete F., Rössle M., Herzog M., Schmitt C. N. Z., Liebig F., Koetz J., and Bargheer M.
Scaling up Nanoplasmon Catalysis: The Role of Heat DIssipation
The Journal of Physical Chemistry C 123, 9352 (2019).
Nanoscale heating by optical excitation of plasmonic nanoparticles offers a new perspective of controlling chemical reactions, where heat is not spatially uniform as in conventional macroscopic heating but strong temperature gradients exist around microscopic hot spots. In nanoplasmonics, metal particles act as a nanosource of light, heat, and energetic electrons driven by resonant excitation of their localized surface plasmon resonance. As an example of the coupling reaction of 4-nitrothiophenol into 4,4′-dimercaptoazobenzene, we show that besides the nanoscopic heat distribution at hot spots, the microscopic distribution of heat dictated by the spot size of the light focus also plays a crucial role in the design of plasmonic nanoreactors. Small sizes of laser spots enable high intensities to drive plasmon-assisted catalysis. This facilitates the observation of such reactions by surface-enhanced Raman scattering, but it challenges attempts to scale nanoplasmonic chemistry up to large areas, where the excess heat must be dissipated by one-dimensional heat transport.
Sarhan R. M., Koopman W., Schuetz R., Schmid T., Liebig F., Koetz J., and Bargheer M.
The importance of plasmonic heating for the plasmon-driven photodimerization of 4-nitrothiophenol
Scientific Reports 9, 3060 (2019).
Metal nanoparticles form potent nanoreactors, driven by the optical generation of energetic electrons and nanoscale heat. The relative influence of these two factors on nanoscale chemistry is strongly debated. This article discusses the temperature dependence of the dimerization of 4-nitrothiophenol (4-NTP) into 4,4′-dimercaptoazobenzene (DMAB) adsorbed on gold nanoflowers by Surface-Enhanced Raman Scattering (SERS). Raman thermometry shows a significant optical heating of the particles. The ratio of the Stokes and the anti-Stokes Raman signal moreover demonstrates that the molecular temperature during the reaction rises beyond the average crystal lattice temperature of the plasmonic particles. The product bands have an even higher temperature than reactant bands, which suggests that the reaction proceeds preferentially at thermal hot spots. In addition, kinetic measurements of the reaction during external heating of the reaction environment yield a considerable rise of the reaction rate with temperature. Despite this significant heating effects, a comparison of SERS spectra recorded after heating the sample by an external heater to spectra recorded after prolonged illumination shows that the reaction is strictly photo-driven. While in both cases the temperature increase is comparable, the dimerization occurs only in the presence of light. Intensity dependent measurements at fixed temperatures confirm this finding.
2018
Reppert A. v., Willig L., Pudell J.-E., Rössle M., Leitenberger W., Herzog M., Ganss F., Hellwig O., and Bargheer M.
Ultrafast laser generated strain in granular and continuous FePt thin films
Applied Physics Letters 113, 123101 (2019).
We employ ultrafast X-ray diffraction to compare the lattice dynamics of laser-excited continuous and granular FePt films on MgO (100) substrates. Contrary to recent results on free-standing granular films, we observe in both cases a pronounced and long-lasting out-of-plane expansion. We attribute this discrepancy to the in-plane expansion, which is suppressed by symmetry in continuous films. Granular films on substrates are less constrained and already show a reduced out-of-plane contraction. Via the Poisson effect, out-of-plane contractions drive in-plane expansion and vice versa. Consistently, the granular film exhibits a short-lived out-of-plane contraction driven by ultrafast demagnetization which is followed by a reduced and delayed expansion. From the acoustic reflections of the observed strain waves at the film-substrate interface, we extract a 13% reduction of the elastic constants in thin 10 nm FePt films compared to bulk-like samples.
Pudell J.-E., Maznev A. A., Herzog M., Kronseder M., Back C. H., Malinowski G., Reppert A. v., and Bargheer M.
Layer specific observation of slow thermal equilibration in ultrathin metallic nanostructures by femtosecond X-ray diffraction
Nature Communications 9, 3335 (2018).
Ultrafast heat transport in nanoscale metal multilayers is of great interest in the context of optically induced demagnetization, remagnetization and switching. If the penetration depth of light exceeds the bilayer thickness, layer-specific information is unavailable from optical probes. Femtosecond diffraction experiments provide unique experimental access to heat transport over single digit nanometer distances. Here, we investigate the structural response and the energy flow in the ultrathin double-layer system: gold on ferromagnetic nickel. Even though the excitation pulse is incident from the Au side, we observe a very rapid heating of the Ni lattice, whereas the Au lattice initially remains cold. The subsequent heat transfer from Ni to the Au lattice is found to be two orders of magnitude slower than predicted by the conventional heat equation and much slower than electron–phonon coupling times in Au. We present a simplified model calculation highlighting the relevant thermophysical quantities.
Stete F., Schoßau P., Bargheer M., and Koopman W.
Size-Dependent Coupling of Hybrid Core–Shell Nanorods: Toward Single-Emitter Strong-Coupling
The Journal of Physical Chemistry C 122, 17976 (2018).
Owing to their ability of concentrating electromagnetic fields to subwavelength mode volumes, plasmonic nanoparticles foster extremely high light–matter coupling strengths reaching far into the strong-coupling regime of light–matter interaction. In this article, we present an experimental investigation on the dependence of coupling strength on the geometrical size of the nanoparticle. The coupling strength for differently sized hybrid plasmon–core exciton–shell nanorods was extracted from the typical resonance anticrossing of these systems, obtained by controlled modification of the environment permittivity using layer-by-layer deposition of polyelectrolytes. The observed size dependence of the coupling strength can be explained by a simple model approximating the electromagnetic mode volume by the geometrical volume of the particle. On the basis of this model, the coupling strength for particles of arbitrary size can be predicted, including the particle size necessary to support single-emitter strong coupling.
Liebig F., Sarhan R. M., Prietzel C., Schmitt S. N. Z., Bargheer M., and Koetz J.
Tuned Surface-Enhanced Raman Scattering Performance of Undulated Au@Ag Triangles
ACS Applied Nano Materials 1, 1995 (2018).
Liebig F., Sarhan R. M., Prietzel C., Thünemann A. F., Bargheer M., and Koetz J.
Undulated Gold Nanoplatelet Superstructures: In Situ Growth of Hemispherical Gold Nanoparticles onto the Surface of Gold Nanotriangles
Langmuir 34, 4584 (2018).
Mor S., Herzog M., Noack J., Katayama N., Nohara M., Takagi H., Trunschke A., Mizokawa T., Monney C., and Stähler J.
Inhibition of the photoinduced structural phase transition in the excitonic insulator Ta2NiSe5
Physical Revies B 97, 115154 (2018).
Liebig F., Henning R., Sarhan R. M., Prietzel C., Bargheer M., and Koetz J.
A new route to gold nanoflowers
Nanotechnology 29, 185603 (2018).
2017
Sander M., Pudell J. -E., Herzog M., Bargheer M., Bauer R., Besse V., Temnov V., and Gaal P.
Quantitative disentanglement of coherent and incoherent laser-induced surface deformations by time-resolved x-ray reflectivity
Applied Physics Letters 111, 261903 (2017).
Kwamen C., Rössle M., Reinhardt M., Leitenberger W., Zamponi F., Alexe M., and Bargheer M.
Simultaneous dynamic characterization of charge and structural motion during ferroelectric switching
Physical Review B 96, 134105 (2017).
Lomazde N., Kopyshev A., Bargheer M., Wollgarten M., and Santer S.
Mass production of polymer nano-wires filled with metal nano-particles
Scientific Reports 7, 8506 (2017).
El Nagar G., Sarhan R. M., Ahbouserie A., Maticiuc N., Bargheer M., Lauermann I., and Roth Ch.
Efficient 3D-Silver Flower-like Microstructures for Non-Enzymatic Hydrogen Peroxide (H2O2) Amperometric Detection
Scientific Reports 7, 12181 (2017).
Mor S., Herzog M., Golez D., Werner P., Eckstein M., Katayama N., Nohara M., Takagi H., Mizokawa T., Monney C., and Stähler J.
Ultrafast Electronic Band Gap Control in an Excitonic Insulator
Physical Review Letters 119, 086401 (2017).
Stete F., Koopman W., and Bargheer M.
Signatures of Strong Coupling on Nanoparticles: Revealing Absorption Anticrossing by Tuning the Dielectric Environment
ACS Photonics 4, 1669 (2017).
Sander M., Herzog M., Pudell J.-E., Bargheer M., Weinkauf N., Pedersen M., Newby G., Sellmann J., Schwarzkopf J., Besse V., Temnov V. V., and Gaal P.
Spatiotemporal coherent control of thermal excitations in solids
Physical Review Letters 119, 075901 (2017).
Koc A., Reinhardt M., von Reppert A., Rössle M., Leitenberger W., Dumesnil K., Gaal P., Zamponi F., and Bargheer M.
Ultrafast X-ray Diffraction Thermometry Measures the Influence of Spin Excitations on the Heat Transport through nanolayers
Physical Review B 96, 014306 (2017).
Koc A., Reinhardt M., von Reppert A., Rössle M., Leitenberger W., Gleich M., Weinelt M., Zamponi F., and Bargheer M.
Grueneisen-approach for the experimental determination of transient spin and phonon energies from ultrafast x-ray diffraction data: gadolinium
Journal of Physics: Condensed Matter 29, 264001 (2017).
Liebig F., Sarhan R. M., Sander M., Koopman W., Schuetz R., Bargheer M., and Koetz J.
Deposition of gold nanotriangles in large scale close-packed monolayers for X-ray based temperature calibration and SERS monitoring of plasmon-driven catalytic reactions
ACS Applied Materials & Interfaces 9, 20247 (2017).
2016
Liebig F., Sarhan R. M., Prietzel C., Reinecke A., and Koetz J.
“Green” gold nanotriangles: synthesis, purification by polyelectrolyte/micelle depletion flocculation and performance in surface-enhanced Raman scattering
RSC Advances 6, 33561 (2016).
Pavlenko E., Sander M., Cui Q., and Bargheer M.
Gold Nanorods Sense the Ultrafast Viscoelastic Deformation of Polymers upon Molecular Strain Actuation
The Journal of Physical Chemistry C 120, 24957 (2016).
von Reppert A., Sarhan R. M., Stete F., Pudell J.-E., Del Fatti N., Crut A., Koetz J., Liebig F., Prietzel C., and Bargheer M.
Watching the Vibration and Cooling of Ultrathin Gold Nanotriangles by Ultrafast X-ray Diffraction
The Journal of Physical Chemistry C 120, 28894 (2016).
Sander M., Koc A., Kwamen C. T., Michaels H., von Reppert A., Pudell J.-E., Zamponi F., Bargheer M., Sellmann J., Schwarzkopf J., and Gaal P.
Characterization of an ultrafast Bragg-Switch for shortening hard x-ray pulses
Journal of Applied Physics 120, 193101 (2016).
von Reppert A., Pudell J.-E., Koc A., Reinhardt M., Leitenberger W., Dumesnil K., Zamponi F., and Bargheer M.
Persistent nonequilibrium dynamics of the thermal energies in the spin and phonon systems of an antiferromagnet
Structural Dynamics 3, 054302 (2016).
Iurchuk V., Schick D., Bran J., Colson D., Forget A., Halley D., Koc A., Reinhardt M., Kwamen C., Morley N. A., Bargheer M., Viret M., Gumeniuk R., Schmerber G., Doudin B., and Kundys B.
Optical Writing of Magnetic Properties by Remanent Photostriction
Physical Review Letters 117, 107403 (2016).
Reinhardt M., Koc A., Leitenberger W., Gaal P., and Bargheer M.
Optimized spatial overlap in optical pump--X-ray probe experiments with high repetition rate using laser-induced surface distortions
Journal of Synchrotron Radiation 23, 474 (2016.)
Pavlenko E., Sander M., Mitzscherling S., Pudell J.-E., Zamponi F., Rössle M., Bojahr A., and Bargheer M.
Azobenzene-functionalized polyelectrolyte nanolayers as ultrafast optoacoustic transducers
Nanoscale 8, 13297 (2016).
2015
Mitzscherling S., Cui Q., Koopman W., and Bargheer M.
Dielectric function of two-phase colloid--polymer nanocomposite
Physical Chemistry Chemical Physics 17, 29465 (2015).
Cui Q., Yashchenok A., Li L., Möhwald H., and Bargheer M.
Mechanistic study on reduction reaction of nitro compounds catalyzed by gold nanoparticles using in situ SERS monitoring
Colloids and Surfaces A: Physicochemical and Engineering Aspects 470, 108 (2015).
Bojahr A., Gohlke M., Leitenberger W., Pudell J.-E., Reinhardt M., von Reppert A., Rössle M., Sander M., Gaal P., and Bargheer M.
Second Harmonic Generation of Nanoscale Phonon Wave Packets
Physical Review Letters 115, 195502 (2015).
Maerten L., Bojahr A., Gohlke M., Rössle M., and Bargheer M.
Coupling of GHz Phonons to Ferroelastic Domain Walls in SrTiO3
Physical Review Letters 114, 047401 (2015).
Cui Q., Xia B., Mitzscherling S., Masic A., Li L., Bargheer M., and Möhwald H.
Preparation of gold nanostars and their study in selective catalytic reactions
Colloids and Surfaces A: Physicochemical and Engineering Aspects 465, 20 (2015).
Maerten L., Bojahr A., and Bargheer M.
Observing backfolded and unfolded acoustic phonons by broadband optical light scattering
Ultrasonics 56, 148 (2015).
2014
Wegkamp D., Herzog M., Xian L., Gatti M., Cudazzo P., McGahan C. L., Marvel R. E., Haglund R. F., Rubio A., Wolf M., and Stähler J.
Instantaneous Band Gap Collapse in Photoexcited Monoclinic VO2 due to Photocarrier Doping
Phys. Rev. Lett. 113, 216401 (2014).
Cui Q., Shen G., Yan X., Li L., Möhwald H., and Bargheer M.
Fabrication of Au@Pt Multibranched Nanoparticles and Their Application to In Situ SERS Monitoring
ACS Applied Materials & Interfaces 6, 17075 (2014).
Goldshteyn J., Bojahr A., Gaal P., Schick D., and Bargheer M.
Selective preparation and detection of phonon polariton wavepackets by stimulated Raman scattering
physica status solidi (b) 251, 821 (2014).
Cui Q., Yashchenok A., Zhang L., Li L., Masic A., Wienskol G., Möhwald H., and Bargheer
Fabrication of Bifunctional Gold/Gelatin Hybrid Nanocomposites and Their Application
ACS Applied Material Interfaces 6, 1999 (2014).
Gaal P., Schick D., Herzog M., Bojahr A., Shayduk R., Goldshteyn J., Navirian H. A., Leitenberger W., Vrejoiu I., Khakhulin D., Wulff M., and Bargheer M.
Ultrafast Switching of hard X-rays
Journal of Synchrotron Radiation 21, 380 (2014).
Navirian H. A., Schick D., Gaal P., Leitenberger W., Shayduk R., and Bargheer M.
Thermoelastic study of nanolayered structures using time-resolved x-ray diffraction at high repetition rate
Applied Physics Letters 104, 021906 (2014).
Schick D., Herzog M., Wen H., Chen P., Adamo C., Gaal P., Schlom D. G., Evans P. G., Li Y., and Bargheer M.
Localized excited charge carriers generate ultrafast inhomogeneous strain in the multiferroic BiFeO3
Physical Review Letters 112, 097602 (2014).
Schick D., Bojahr A., Herzog M., von Korff Schmising C., Shayduk R., and Bargheer M.
udkm1Dsim - A Simulation Toolkit for 1D Ultrafast Dynamics in Condensed Matter
Computer Physics Communication 185, 651 (2014).
Schick D., Herzog M., Bojahr A., Leitenberger W., Hertwig A., Shayduk R., and Bargheer M.
Ultrafast lattice response of photoexcited thin films studied by X-ray diffraction
Structural Dynamics 1, 064501 (2014).
2013
Abboud A., Send S., Pashniak N., Leitenberger W., Ihle S., Huth M., Hartmann R., Strüder L., and Pietsch U.
Sub-pixel resolution of a pnCCD for X-ray white beam applications
Journal of Instrumentation 8, P05005 (2013).
Bojahr A., Herzog M., Mitzscherling S., Maerten L., Schick D., Goldshteyn J., Leitenberger W., Shayduk R., Gaal P., and Bargheer M.
Brillouin scattering of visible and hard X-ray photons from optically synthesized phonon wavepackets
Optics Express 21, 21188 (2013).
Schick D., Shayduk R., Bojahr A., Herzog M., von Korff Schmising C., Gaal P., and Bargheer M.
Ultrafast reciprocal-space mapping with a convergent beam
Journal of Applied Crystallography 46, 1372 (2013).
Send S., Abboud A., Hartmann R., Huth M., Leitenberger W., Pashniak N., Schmidt J., Strüder L., and Pietsch U.
Characterization of a pnCCD for applications with synchrotron radiation
Nuclear Instruments and Methods A 711, 132 (2013).
Schick D., Bojahr A., Herzog M., Gaal P., Vrejoiu I., and Bargheer M.
Following Strain-Induced Mosaicity Changes of Ferroelectric Thin Films by Ultrafast Reciprocal Space Mapping
Physical Review Letters 110, 095502 (2013).
Shayduk R., Herzog M., Bojahr A., Schick D., Gaal P., Leitenberger W., Navirian H., Sander M., Goldshteyn J., Vrejoiu I., and Bargheer M.
Direct time-domain sampling of subterahertz coherent acoustic phonon spectra in SrTiO3 using ultrafast x-ray diffraction
Physical Review B 87, 184301 (2013).
2012
Gaal P., Schick D., Herzog M., Bojahr A., Shayduk R., Goldshteyn J., Navirian H. A., Leitenberger W., Vrejoiu I., Khakhulin D., Wulff M., and Bargheer M.
Time-domain sampling of x-ray pulses using an ultrafast sample response
Applied Physics Letters 101, 243106 (2012).
Bojahr A., Herzog M., Schick D., Vrejoiu I., and Bargheer M.
Calibrated real-time detection of nonlinearly propagating strain waves
Physical Review B 86, 144306 (2012).
Weber C., Frank C., Bommel S., Rukat T., Leitenberger W., Schaefer P., Schreiber F., and Kowarik S.
Chain-length dependent growth dynamics of n-alkanes on silica investigated by energy-dispersive x-ray reflectivity in situ and in real-time
Journal of Chemical Physics 136, 20 (2012):
Navirian H., Shayduk R., Leitenberger W., Goldshteyn J., Gaal P., and Bargheer M.
Synchrotron-based ultrafast x-ray diffraction at high repetition rates
Review of Scientfic Instruments 83, 063303 (2012).
Bojahr A., Schick D., Maerten L., Herzog M., Vrejoiu I., von Korff Schmising C., Milne C. J., Johnson S. L., and Bargheer M.
Comparing the oscillation phase in optical pump-probe spectra to ultrafast x-ray diffraction in the metal-dielectric SrRuO3/SrTiO3 superlattice
Physical Review B 85, 224302 (2012).
Send S., Abboud A., Leitenberger W., Weiss M. S., Hartmann R., Strüder L., and Pietsch U
Analysis of polycrystallinity in hen egg-white lysozyme using a pnCCD
Journal of Applied Crystallography 45, 517 (2012).
Mihoc C., Schick D., Lütgens M., Lathe C., and Burkel E.
Formation of Al67Cu23Fe10 quasicrystals by microwave heating
International Journal of Materials Research 103, 1340 (2012).
Kiel M., Klötzer M., Mitzscherling S., and Bargheer M.
Measuring the Range of Plasmonic Interaction
Langmuir 28, 4800 (2012).
Herzog M., Bojahr A., Goldshteyn J., Leitenberger W., Vrejoiu I., Khakhulin D., Wulff M., Shayduk R., Gaal P., and Bargheer M.
Detecting optically synthesized quasi-monochromatic sub-terahertz phonon wavepackets by ultrafast x-ray diffraction
Applied Physics Letters 100, 094101 (2012).
Gupta R., Gupta A., Leitenberger W., and Rüffer R.
Mechanism of stress relaxation in nanocrystalline Fe-N thin films
Physical Review B 85, 075401 (2012).
Schick D., Bojahr A., Herzog M., von Korff Schmising C., Shayduk R., Leitenberger W., Gaal P., and Bargheer M.
Normalization schemes for ultrafast x-ray diffraction using a table-top laser-driven plasma source
Review of Scientific Instruments 83, 025104 (2012).
Herzog M., Schick D., Leitenberger W., Shayduk R., van der Veen R. M., Milne C. J., Johnson S. L., Vrejoiu I., and Bargheer M.
Tailoring interference and nonlinear manipulation of femtosecond x-rays
New Journal of Physics 14, 013004 (2012).
Herzog M., Schick D., Gaal P., Shayduk R., von Korff Schmising C., and Bargheer M.
Analysis of ultrafast X-ray diffraction data in a linear-chain model of the lattice dynamics
Applied Physics A 106, 489 (2012).
2011
W. Gruber, S. Chakravarty, C. Baehtz, W. Leitenberger, M. Braun, A. Kobler, C. Kübel and H. Schmidt.
Strain Relaxation and Vacancy Creation in Thin Platinum Films
Physical Review Letters 107, 265501 (2011).
M. Kiel, H. Möhwald and M. Bargheer.
Broadband measurements of the transient optical complex dielectric function of a nanoparticle/polymer composite upon ultrafast excitation
Physical Review B 84, 165121 (2011).
R. Shayduk, H. A. Navirian, W. Leitenberger, J. Goldshteyn, I. Vrejoiu, M. Weinelt, P. Gaal, M. Herzog, C. von Korff Schmising and M. Bargheer .
Nanoscale heat transport studied by high-resolution time-resolved x-ray diffraction
New Journal of Physics 13, 093032 (2011).
H. A. Navirian, M. Herzog, J. Goldshteyn, W. Leitenberger, I. Vrejoiu, D. Khakhulin, M. Wulff, R. Shayduk, P. Gaal and M. Bargheer.
Shortening x-ray pulses for pump-probe experiments at synchrotrons
Journal of Applied Physics 109, 126104 (2011).
2010
C. von Korff Schmising, Anders Harpoeth, Nicolai Zhavoronkov, Michael Woerner, T. Elsaesser, M. Bargheer, Martin Schmidbauer, I. Vrejoiu, Dietrich Hesse and M. Alexe.
Femtosecond X-ray diffraction from nanolayered oxides
Physics Procedia 3, 333 (2010).
H. Enquist, H. Navirian, R. Nueske, C. von Korff Schmising, A. Jurgilaitis, M. Herzog, M. Bargheer, P. Sondhauss and J. Larsson
Subpicosecond hard x-ray streak camera using single-photon counting
Optics Letters 35, 3219 (2010).
M. Kiel, S. Mitzscherling, W. Leitenberger, S. Santer, B. Tiersch, T. K. Sievers, H. Möhwald and M. Bargheer
Structural Characterization of a Spin-Assisted Colloid-Polyelectrolyte Assembly: Stratified Multilayer Thin Films
Langmuir 26, 18499 (2010).
M. Herzog, W. Leitenberger, R. Shayduk, Renske van der Veen, C. J. Milne, S. L. Johnson, I. Vrejoiu, M. Alexe, D. Hesse and M. Bargheer
Ultrafast manipulation of hard x-rays by efficient Bragg switches
Applied Physics Letters 96, 161906 (2010).
2009
M. Woerner, C. von Korff Schmising, M. Bargheer, N. Zhavoronkov, I. Vrejoiu, D. Hesse, M. Alexe and T. Elsaesser
Ultrafast structural dynamics of perovskite superlattices
Applied Physics A: Materials Science & Processing 96, 83 (2009).
M. Braun, C. Root, F. J. Lederer, T. E. Schrader, W. Zinth, C. von Korff Schmising, M. Bargheer, T. Elsaesser and M. Woerner.
Ultrafast X-ray experiments on structural changes in single crystals of polar molecules
Applied Physics A: Materials Science & Processing 96, 107 (2009).
F. Zamponi, Z. Ansari, C. von Korff Schmising, P. Rothhardt, N. Zhavoronkov, M. Woerner, T. Elsaesser, M. Bargheer, T. Trobitzsch-Ryll and M. Haschke
Femtosecond hard X-ray plasma sources with a kilohertz repetition rate
Applied Physics A 96, 51 (2009).
2008
C. von Korff Schmising, M. Bargheer, M. Woerner and T. Elsaesser.
Real-time studies of reversible lattice dynamics by femtosecond X-ray diffraction
Oldenbourg 223, 283 (2008).
C. von Korff Schmising, A. Harpoeth, N. Zhavoronkov, Z. Ansari, C. Aku-Leh, M. Woerner, T. Elsaesser, M. Bargheer, M. Schmidbauer, I. Vrejoiu, D. Hesse and M. Alexe.
Ultrafast magnetostriction and phonon-mediated stress in a photoexcited ferromagnet
Physical Review B 78, 060404 (2008).
M. Fushitani, M. Bargheer, M. Gühr, H. Ibrahim and N. Schwentner.
Control of chromophore-to-bath coupling by interferometry: Cl2 vibrational wave packets in solid Ar
Journal of Physics B: Atomic, Molecular and Optical Physics 41, 074013 (2008).
2007
M. Gühr, M. Bargheer, M. Fushitani, T. Kiljunen and N. Schwentner.
Ultrafast dynamics of halogens in rare gas solids
2007, Physical Chemistry Chemical Physics, Phys. Chem. Chem. Phys., 9, 7, 779--801
C. von Korff Schmising, M. Bargheer, M. Kiel, N. Zhavoronkov, M. Woerner, T. Elsaesser, I. Vrejoiu, D. Hesse and M. Alexe
Ultrafast structure and polarization dynamics in nanolayered perovskites studied by femtosecond X-ray diffraction
Journal of Physics: Conference Series 92, 012177 (2007).
C. von Korff Schmising, M. Bargheer, M. Kiel, N. Zhavoronkov, M. Woerner, T. Elsaesser, I. Vrejoiu, D. Hesse and M. Alexe
Coupled Ultrafast Lattice and Polarization Dynamics in Ferroelectric Nanolayers
2007, Phys. Rev. Lett., 98, 25, 257601
C. von Korff Schmising, M. Bargheer, M. Kiel, N. Zhavoronkov, M. Woerner, T. Elsaesser, I. Vrejoiu, D. Hesse and M. Alexe.
Accurate time delay determination for femtosecond X-ray diffraction experiments
2007, Appl. Phys. B, 88, 1, 1-4
M. Bargheer.
Atombewegung im Röntgenkino - Die Femtosekunden-Röntgenbeugung entschlüsselt ultraschnelle Gitterdynamik
Physik Journal 8/9, 67 (2007).
M. Braun, C. von Korff Schmising, M. Kiel, N. Zhavoronkov, J. Dreyer, M. Bargheer, T. Elsaesser, C. Root, T. E. Schrader, P. Gilch, W. Zinth and M. Woerner
Ultrafast Changes of Molecular Crystal Structure Induced by Dipole Solvation
2007, Phys. Rev. Lett., 98, 24, 248301
M. Bargheer, A. Cohen, R. B. Gerber, M. Gühr, M. V. Korolkov, J. Manz, M. Y. Niv, M. Schröder and N. Schwentner.
Dynamics of Electronic States and Spin-Flip for Photodissociation of Dihalogens in Matrices: Experiment and Semiclassical Surface-Hopping and Quantum Model Simulations for F2 and ClF in Solid Ar
2007, The Journal of Physical Chemistry A, 111, 38, 9573--9585
2006
C. von Korff Schmising, M. Bargheer, M. Kiel, N. Zhavoronkov, M. Woerner, T. Elsaesser, I. Vrejoiu, D. Hesse and M. Alexe
Strain propagation in nanolayered perovskites probed by ultrafast x-ray diffraction
2006, Physical Review B (Condensed Matter and Materials Physics), 73, 21, 212202
M. Bargheer, N. Zhavoronkov, M. Woerner and T. Elsaesser.
Recent Progress in Ultrafast X-ray Diffraction
2006, ChemPhysChem, 7, 4, 783-792
M. Bargheer, J. C. Woo, N. Zhavoronkov, D. S. Kim, M. Woerner and T. Elsaesser
Excitation mechanisms of coherent phonons unravelled by femtosecond X-ray diffraction
2006, phys. stat. sol. (b), 243, 10, 2389-2396
2005
N. Zhavoronkov, Y. Gritsai, M. Bargheer, M. Woerner, T. Elsaesser, F. Zamponi, I. Uschmann and E. Forster.
Microfocus Cu Ka source for femtosecond x-ray science
Optics Letters 30, 1737 (2005).
M. Fushitani, M. Bargheer, M. Gühr and N. Schwentner.
Pump–probe spectroscopy with phase-locked pulses in the condensed phase: decoherence and control of vibrational wavepackets
2005, Phys. Chem. Chem. Phys., 7, 3143-3149
M. Bargheer, N. Zhavoronkov, R. Bruch, H. Legall, H. Stiel, M. Woerner and T. Elsaesser.
Comparison of focusing optics for femtosecond X-ray diffraction
2005, Applied Physics B: Lasers and Optics, 80, 6, 715--719
N. Zhavoronkov, Y. Gritsai, M. Bargheer, M. Woerner and T. Elsaesser
Generation of ultrashort K-alpha radiation from quasipoint interaction area of femtosecond pulses with thin foils
2005, Applied Physics Letters, 86, 24, 244107
2004
T. Kiljunen, M. Bargheer, M. Gühr and N. Schwentner
A potential energy surface and a trajectory study of photodynamics and strong-field alignment of ClF molecule in rare gas (Ar,Kr) solids
2004, Phys. Chem. Chem. Phys., 6, 2185-2197
T. Kiljunen, M. Bargheer, M. Gühr, N. Schwentner and B. Schmidt.
Photodynamics and ground state librational states of ClF molecule in solid Ar. Comparison of experiment and theory
2004, Phys. Chem. Chem. Phys., 6, 2932 - 2939
M. Bargheer, N. Zhavoronkov, Y. Gritsai, J. C. Woo, D. S. Kim, M. Woerner and T. Elsaesser.
Coherent Atomic Motions in a Nanostructure Studied by Femtosecond X-ray Diffraction
2004, Science, 306, 5702, 1771-1773
M. Bargheer, M. Gühr and N. Schwentner.
Collisions transfer coherence
Israel Journal of Chemistry 44, 9 (2004).
2003
M. Bargheer and N. Schwentner.
Particle transport phenomena in low-temperature solids (Review)
2003, Low Temperature Physics, 29, 3, 165-173
M. Gühr, M. Bargheer and N. Schwentner
Generation of Coherent Zone Boundary Phonons by Impulsive Excitation of Molecules
2003, Phys. Rev. Lett., 91, 8, 085504
2002
M. Bargheer, R. B. Gerber, M. V. Korolkov, O. Kühn, J. Manz, M. Schröder and N. Schwentner
Subpicosecond spin-flip induced by the photodissociation dynamics of ClF in an Ar matrix
2002, Phys. Chem. Chem. Phys, 4, 5554 - 5562
M. Bargheer, M. Y. Niv, R. B. Gerber and N. Schwentner
Ultrafast Solvent-Induced Spin-Flip and Nonadiabatic Coupling: ClF in Argon Solids
2002, Phys. Rev. Lett., 89, 10, 108301
M. Bargheer, M. Gühr, P. Dietrich and N. Schwentner
Femtosecond spectroscopy of fragment–cage dynamics: I2 in Kr
2002, Phys. Chem. Chem. Phys., 4, 75-81
M. Gühr, M. Bargheer, P. Dietrich and N. Schwentner.
Predissociation and Vibrational Relaxation in the B state of I2 in Kr Matrix
Journal of Physical Chemistry A 106, 12002 (2002).
M. Bargheer, M. Gühr and N. Schwentner
Depolarization as a probe for ultrafast reorientation of diatomics in condensed phase: ClF versus I[sub 2] in rare gas solids
2002, The Journal of Chemical Physics, 117, 1, 5-8
2001
M. Bargheer, P. Dietrich and N. Schwentner.
Spectroscopy and photodissociation of ClF in rare gas solids
2001, The Journal of Chemical Physics, 115, 1, 149-157
M. Bargheer, J. Pietzner, P. Dietrich and N. Schwentner.
Ultrafast laser control of ionic-bond formation: ClF in argon solids
2001, The Journal of Chemical Physics, 115, 21, 9827-9834
2000
M. Y. Niv, M. Bargheer and R. B. Gerber.
Photodissociation and recombination of F[sub 2] molecule in Ar[sub 54] cluster: Nonadiabatic molecular dynamics simulations
2000, The Journal of Chemical Physics, 113, 16, 6660-6672
1999
M. Bargheer, P. Dietrich, K. Donovang and N. Schwentner.
Extraction of potentials and dynamics from condensed phase pump--probe spectra: Application to I[sub 2] in Kr matrices
1999, The Journal of Chemical Physics, 111, 18, 8556-8564





























































